• Предмет: Математика
  • Автор: VettaDell
  • Вопрос задан 3 года назад

Допоможіть будь-ласка, завдання з вищої математики. Терміново.

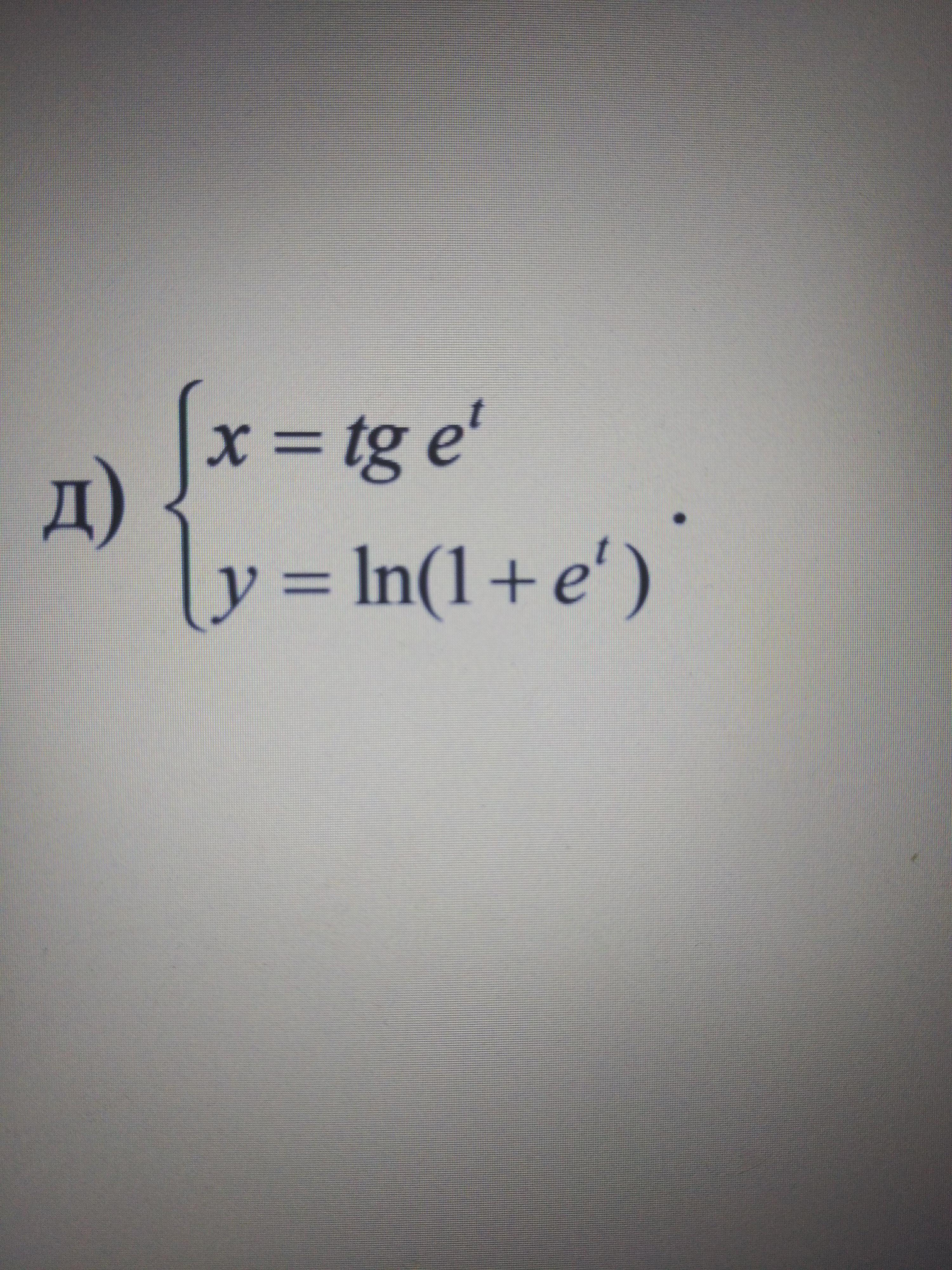
Потрібно обчистити похідну /

Нужно вычислить производную

Приложения:

Ответы

Ответ дал: Miroslava227
1

Ответ:

решение на фотографии

Приложения:
Вас заинтересует