• Предмет: Алгебра
  • Автор: Аноним
  • Вопрос задан 3 года назад

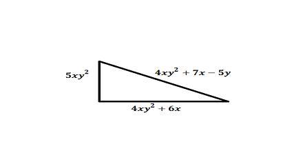
Найдите периметр фигуры. Ответ запишите в виде многочлена стандартного вида

Приложения:

Ответы

Ответ дал: NNNLLL54
4

Ответ:

a=5xy^2\ ,\ \ b=4xy^2+7x-5y\ \ ,\ \ c=4xy^2+6x\\\\P=a+b+c=5xy^2+(4xy^2+7x-5y)+(4xy^2+6x)=13xy^2+13x-6y


tamarabernukho: ..
beslannabiyev: а как вы поняли что A что B что C??????
beslannabiyev: Помогите плиз
NNNLLL54: я их так сама обозначила... от обозначения ход решения не зависит ...
Ответ дал: Chebyrek2000ru
1

Ответ:

P = a + b + c

P = 5xy^2 + 4xy^2 + 6x + 4xy^2 + 7x - 5y = 13xy^2 + 13x - 5y


beslannabiyev: а как вы поняли что A что B что C??????
Вас заинтересует