срочно нужно пж
срочно капец как надо
Приложения:

yanakim62:
срочно нужно полностью расписать
Ответы
Ответ дал:
0
Ответ:
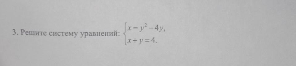
x=y2 - 4y
y=4 - x
x=(4 - x)2 - 4( 4 - x)
x= 16 - 8x + x2 - 16 + 4x
x= x2 - 4x
x2 - 5x= 0
x(x - 5) = 0
x = 0, x - 5= 0
x= 5
y= 4-x
1y= 4, 2y= 4-5= -1
Ответ: (0; 4), (5; -1)
надеюсь, я смогла помочь
Вас заинтересует
2 года назад
2 года назад
2 года назад
7 лет назад
7 лет назад
9 лет назад
9 лет назад