• Предмет: Математика
  • Автор: ramazanramin757
  • Вопрос задан 3 года назад

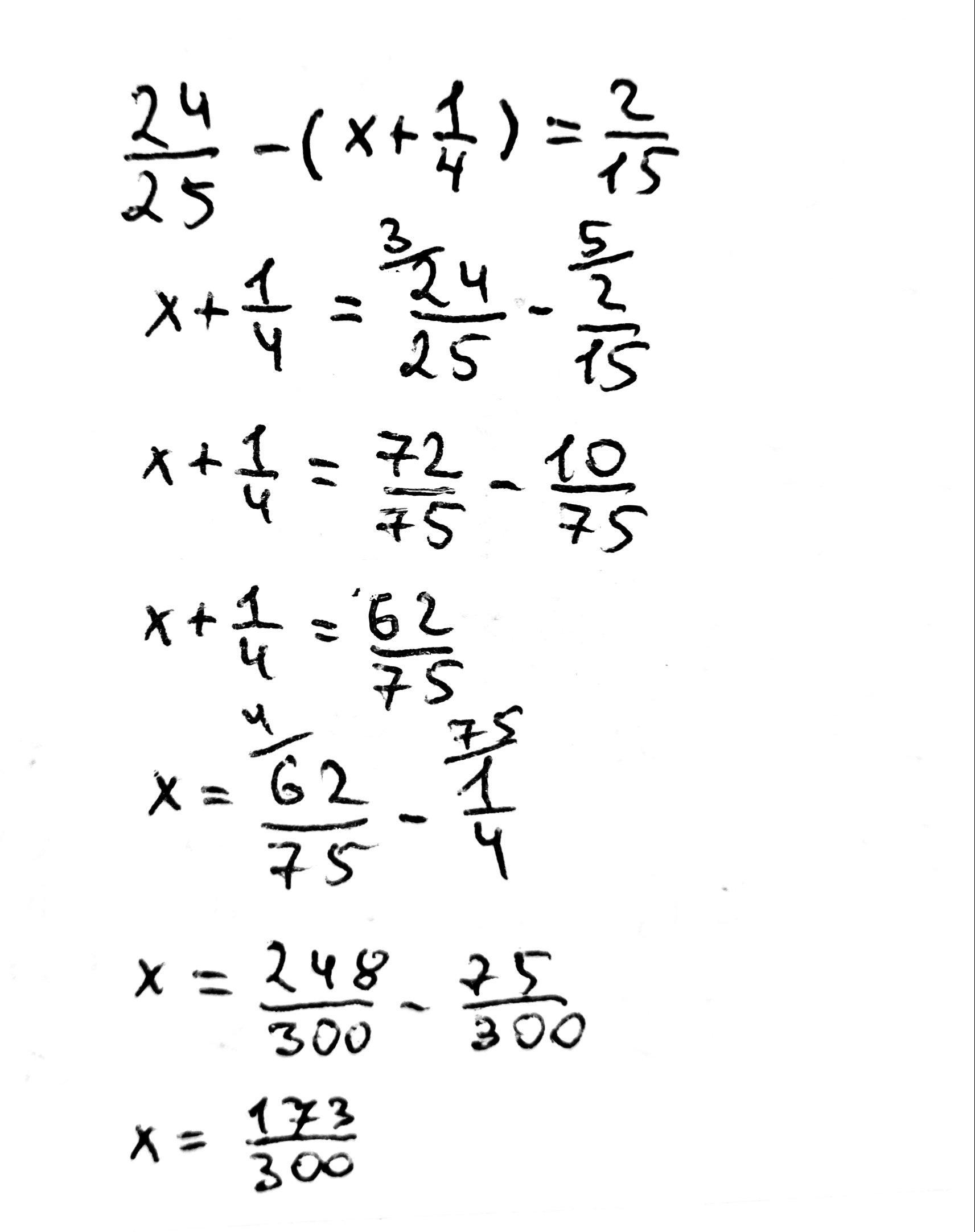
Решите уравнение:
24/25 - ( х + 1/4 ) = 2/15

Ответы

Ответ дал: Ифигения
0

Ответ: 173/300

Пошаговое объяснение:

Приложения:
Вас заинтересует