• Предмет: Алгебра
  • Автор: pognizegne
  • Вопрос задан 3 года назад

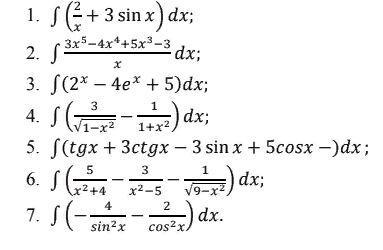
Решите 7 интегралов по данной таблице

Приложения:

Ответы

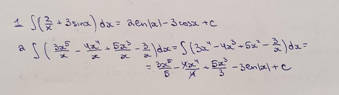
Ответ дал: Miroslava227
1

Ответ:

решение на фотографиях

,

Приложения:
Вас заинтересует