• Предмет: Алгебра
  • Автор: byjapanusa
  • Вопрос задан 3 года назад

3. из данных алгебраических выраженній, найдите одночлен, запишите его в
стандартном виде, укажите коэффициент іt степень одночлена:
6) S +3a'.
[3]​

Приложения:

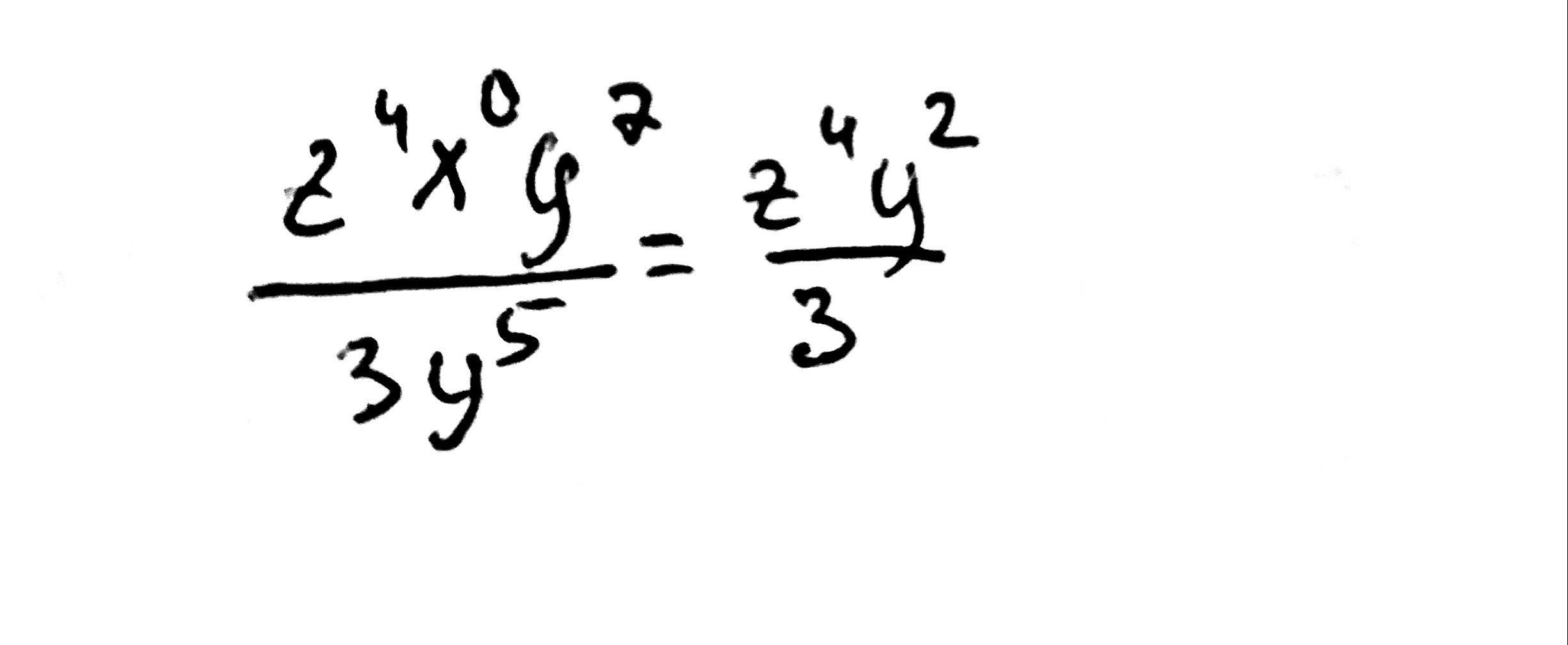
Ифигения: х в нулевой степени? А у в 5?

Ответы

Ответ дал: Ифигения
1

Объяснение:

Коэффициент 1/3

Степень 6

б) является многочленом

Приложения:

byjapanusa: спс
Вас заинтересует