• Предмет: Математика
  • Автор: kudrevatyhanastasiya
  • Вопрос задан 3 года назад

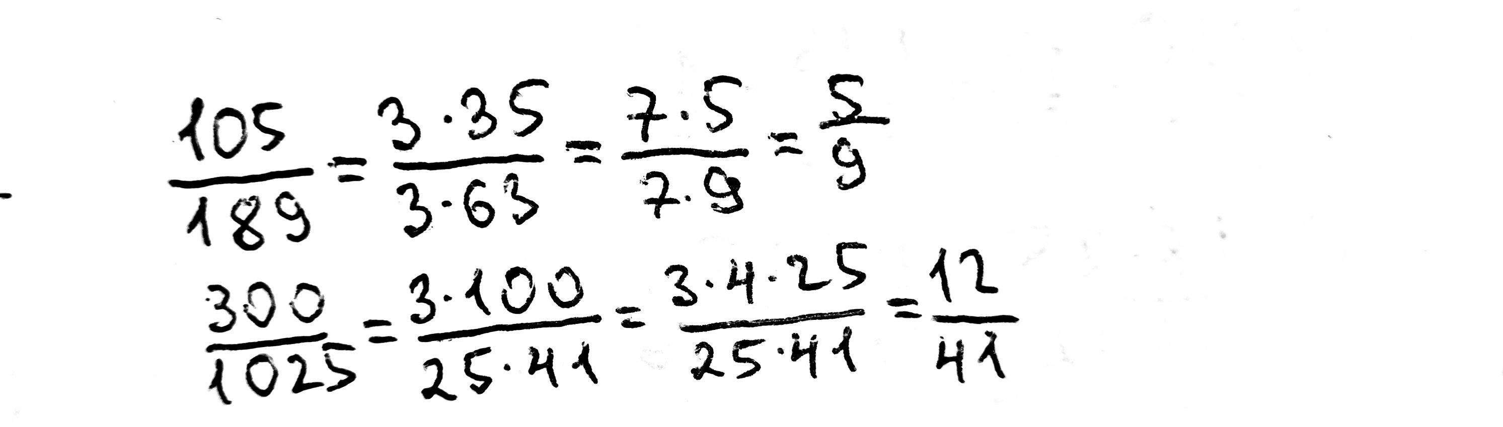
Запиши в виде не сократимой дроби:а)105/189 б)300/1025

Ответы

Ответ дал: r9637000
0

Ответ:

а) 5/9 б) 12/41

Пошаговое объяснение:

Ответ дал: Ифигения
1

Ответ:

Пошаговое объяснение:

Во вложении

Приложения:

kudrevatyhanastasiya: Так и писать?
Ифигения: Пиши, как тебе понятнее.
kudrevatyhanastasiya: Спасибо
Ифигения: Не за что)
Вас заинтересует