• Предмет: Алгебра
  • Автор: denislychi
  • Вопрос задан 3 года назад

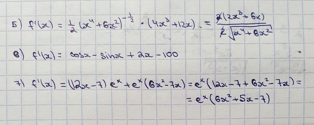
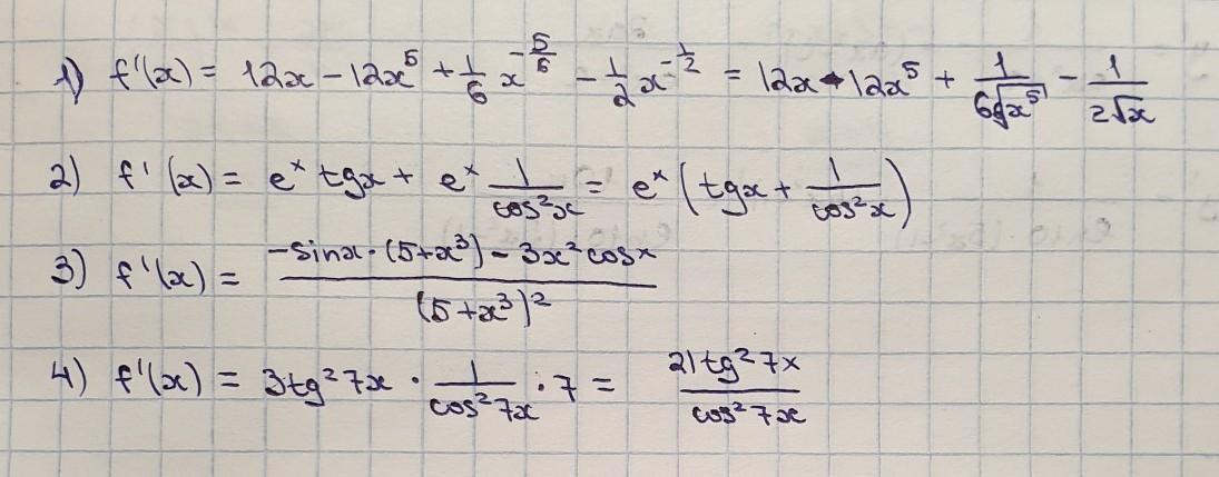
Вычислить производные
1 Вариант

Приложения:

Аноним: Решим все очень быстро + хорошие отзывы!!!
https://www.avito.ru/moskva/predlozheniya_uslug/reshenie_zadach_po_matematike_i_fizike_1920524902

Ответы

Ответ дал: Miroslava227
1

Ответ:

решение на фотографиях

Приложения:
Вас заинтересует