Ответы
Ответ дал:
2
Ответ:
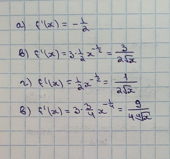
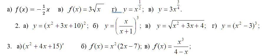
решение на фотографиях
Приложения:



lorze:
Спасибо
Вас заинтересует
2 года назад
2 года назад
9 лет назад