• Предмет: Алгебра
  • Автор: Evaspivas
  • Вопрос задан 3 года назад

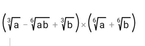
Упростите выражение.

Приложения:

Ответы

Ответ дал: rumanezzo
0

Ответ:

 \sqrt{a}  +  \sqrt{b}

Объяснение:

Пусть

 \sqrt[6]{a}  = x

 \sqrt[6]{b}  = y

Тогда получаем:

(x² - xy + y²) (x + y) = x³ + y³ = квкор(а) + квкор(b)

Вас заинтересует