• Предмет: Алгебра
  • Автор: ninakoleber732
  • Вопрос задан 3 года назад

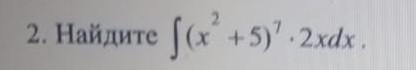
Помогите пожалуйста
Задание на рисунке ​

Приложения:

Ответы

Ответ дал: Miroslava227
0

Ответ:

решение на фотографии

Приложения:
Вас заинтересует