• Предмет: Математика
  • Автор: egorvolodin
  • Вопрос задан 3 года назад

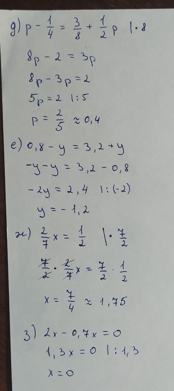
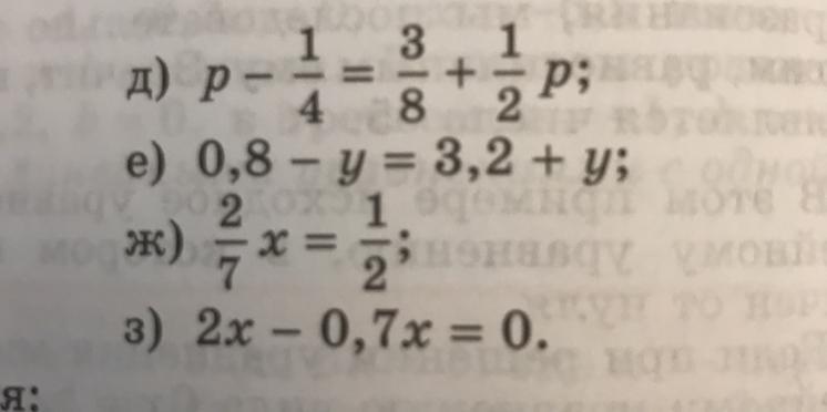
С обыйяснением пж срочно

Приложения:

miki68: =1,25; =-1,2; =1,75; =0

Ответы

Ответ дал: Jennifer143
1

Ответ:

Вот................

Приложения:

miki68: в уравнениях не бывает ответов приблизительных и 1) неверно
Вас заинтересует