• Предмет: Математика
  • Автор: m9152472132
  • Вопрос задан 3 года назад

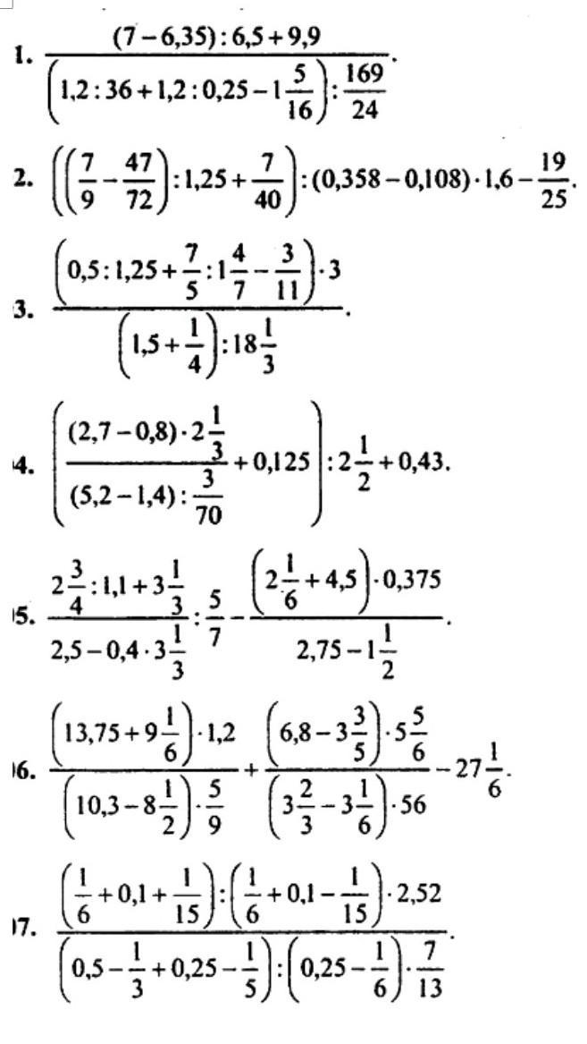
очень срочно, пожалуйста помогите¡¡¡ 25 баллов​

Приложения:

Ответы

Ответ дал: bekmuradovaziz74
2

Ответ:1

Пошаговое объяснение:

2)   1)  7/9-47/72=1/8

     2)  1/8 /1.25=0.1

     3)  0.1+7/40=11/40

     4)  0.358-0.108=0.250

     5)  11/40 /0.25=1.1

     6)  1.1*1.6=1.76

     7)  1.76-19/25=1

Вас заинтересует