Ответы
Ответ дал:
3
Ответ:
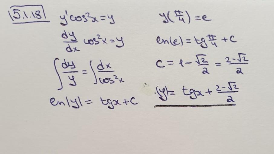
решение на фотографиях
Приложения:





Вас заинтересует
2 года назад
2 года назад
2 года назад
7 лет назад
9 лет назад