• Предмет: Алгебра
  • Автор: b61205121777D
  • Вопрос задан 3 года назад

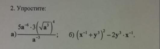
Упростить выражения на фотке

Приложения:

Аноним: Сделаем все быстро + хорошие отзывы
https://www.avito.ru/moskva/predlozheniya_uslug/reshenie_zadach_po_matematike_i_fizike_1920524902

Ответы

Ответ дал: bbbapho
0

а)

 =  \frac{5 \times  \frac{1}{ {a}^{6} }  \times 3 \times  {( {a}^{ \frac{3}{2}})}^{4} }{ \frac{1}{ {a}^{3} } }  =  \frac{15 \times  \frac{1}{ {a}^{6} } \times  {a}^{6}  }{ \frac{1}{ {a}^{3} } }  =  \frac{15}{ \frac{1}{ {a}^{3} } }  =  15 {a}^{3}

б)

 = {( {x}^{ - 1}  +  {y}^{3} )}^{2}  -  \frac{2 {y}^{3} }{x}  =  {x}^{ - 2}  +  \frac{2 {y}^{3} }{x}  +  {y}^{6}   -  \frac{2 {y}^{3} }{x}  =  {x}^{ - 2}  +  {y}^{6}  =   \frac{1}{ {x}^{2}  }   +  {y}^{6}

Вас заинтересует