Ответы
Ответ дал:
0
Ответ:
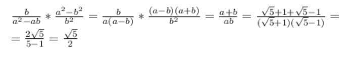
Вынесение общего множителя. Разность квадратов.
Приложения:

Аноним:
неправильно
Ответ дал:
0
b/a^2 + ab : b^2/a^2 - b^2 = b/ a(a + b) : b^2/(a-b)(a+b) = b/a(a+b) * (a-b)(a+b)/b^2 = a-b/ab = корень из 5 - 1 - корень из 5 - 1/ (корень из 5 - 1)*(корень из 5 + 1) = -2/5-1 = -2/4 = -0,5
Вас заинтересует
2 года назад
2 года назад
2 года назад
2 года назад
7 лет назад
9 лет назад
9 лет назад