Ответы
Ответ дал:
1
Ответ:
2
Пошаговое объяснение:
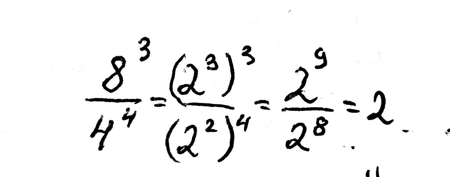
2^9/2^8
Ответ дал:
1
Ответ: 2
Пошаговое объяснение:
Приложения:

Вас заинтересует
2 года назад
2 года назад
2 года назад
2 года назад
7 лет назад
7 лет назад