• Предмет: Математика
  • Автор: vovaiachu9
  • Вопрос задан 3 года назад

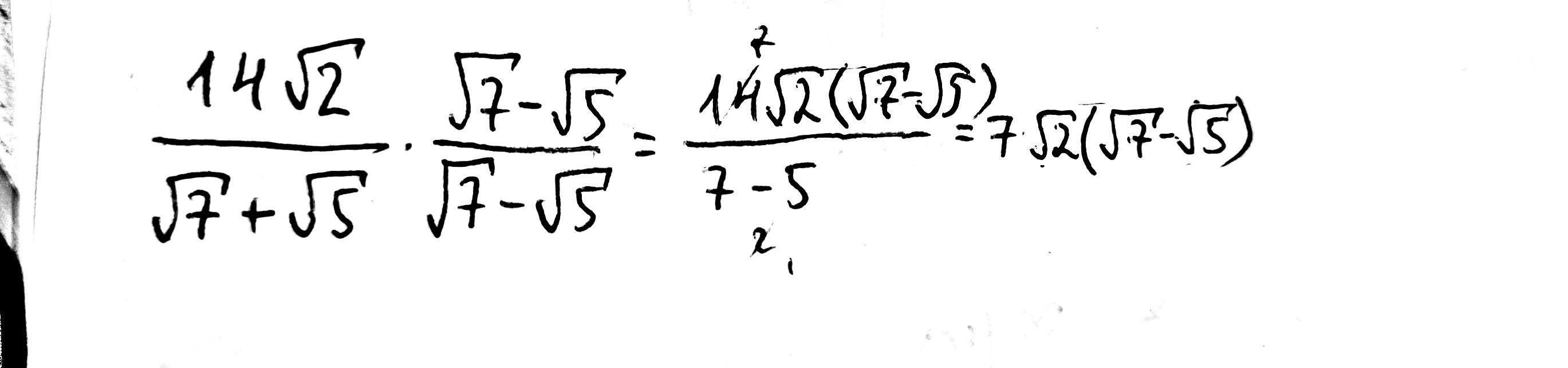
избавьтесь от иррациональности в знаменателе : 14√2 / √7+√5

Ответы

Ответ дал: Ифигения
2

Ответ:

Пошаговое объяснение: во вложении

Приложения:
Ответ дал: NNNLLL54
2

\dfrac{14\sqrt2}{\sqrt7+\sqrt5}=\dfrac{14\sqrt2\, (\sqrt7-\sqrt5)}{(\sqrt7+\sqrt5)(\sqrt7-\sqrt5)}=\dfrac{14\sqrt{14}-14\sqrt{10}}{7-5}=\dfrac{14\, (\sqrt{14}-\sqrt{10})}{2}=\\\\\\=7\, (\sqrt{14}-\sqrt{10})=7\sqrt2\, (\sqrt7-\sqrt5)

Вас заинтересует