• Предмет: Математика
  • Автор: Karenka35677
  • Вопрос задан 3 года назад

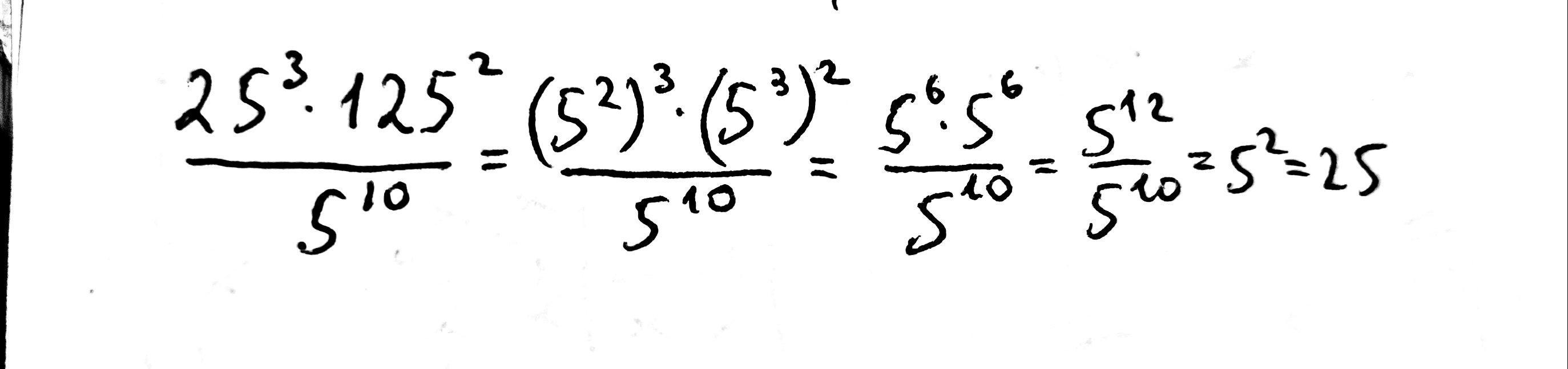
25^3 * 125^2 / 5^10 = ???

Ответы

Ответ дал: Ифигения
3

Ответ: 25

Пошаговое объяснение:

Приложения:
Вас заинтересует