• Предмет: Математика
  • Автор: JamikOfficial
  • Вопрос задан 3 года назад

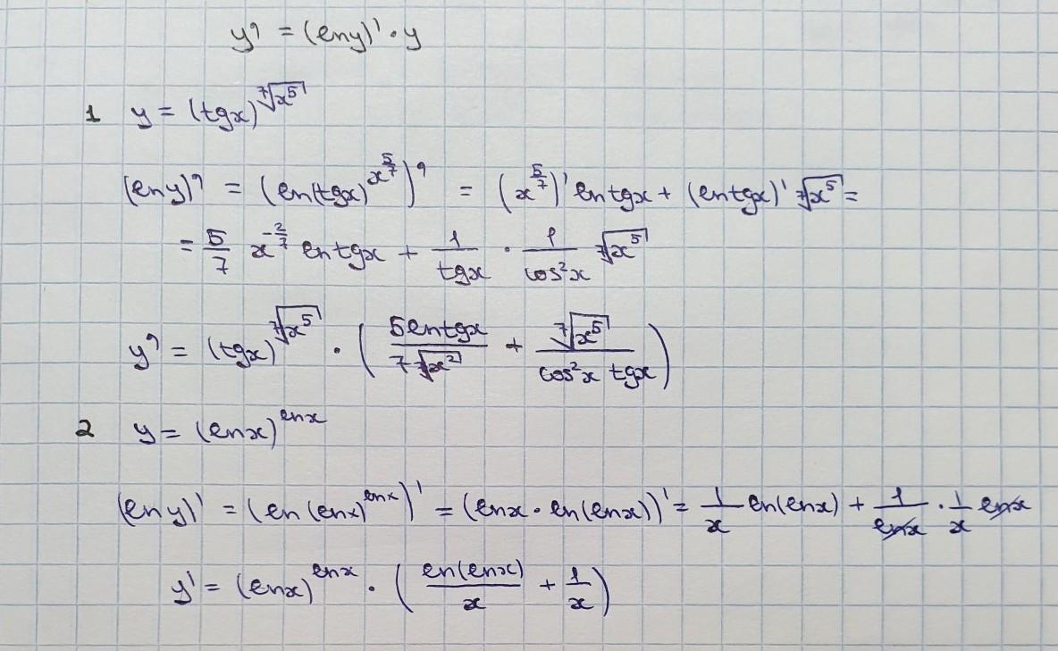
Производная показательно-степенной функции
Найти производные:

Приложения:

Ответы

Ответ дал: Miroslava227
1

Ответ:

решение на фотографиях

Приложения:

Аноним: Здравствуйте. Поможете с решением задачи? https://znanija.com/task/39656294
Вас заинтересует