• Предмет: Алгебра
  • Автор: ajbekkyzygulagim
  • Вопрос задан 3 года назад

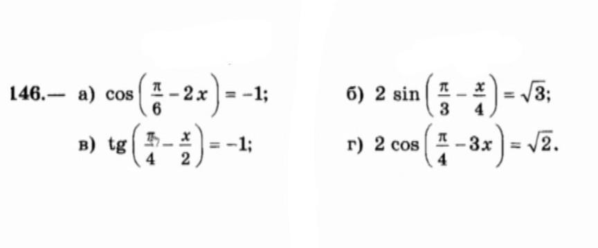
алгебра помогите пжсрочно ​

Приложения:

Ответы

Ответ дал: xiaomi22888
0

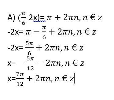
Ответ:

X=7пи / 2 + 2 пи n, n принадлежит Z

Остальное хз

Приложения:
Вас заинтересует