• Предмет: Математика
  • Автор: Dom4shn1y
  • Вопрос задан 3 года назад

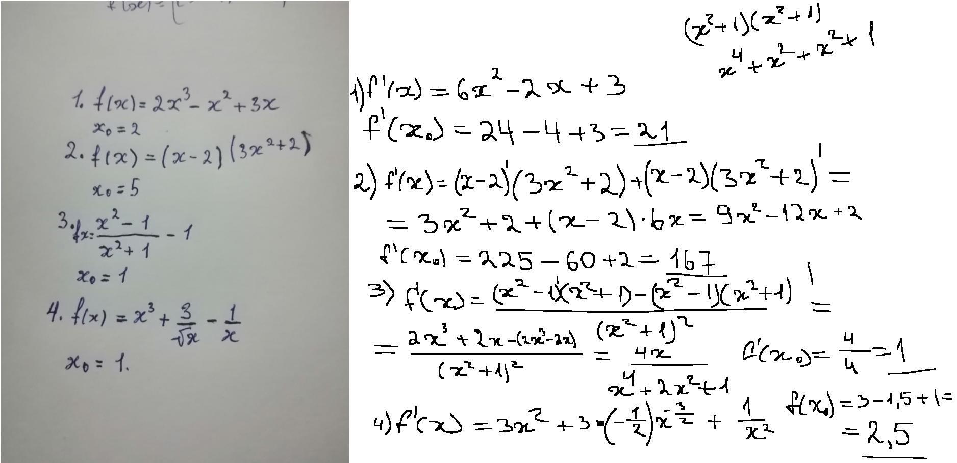
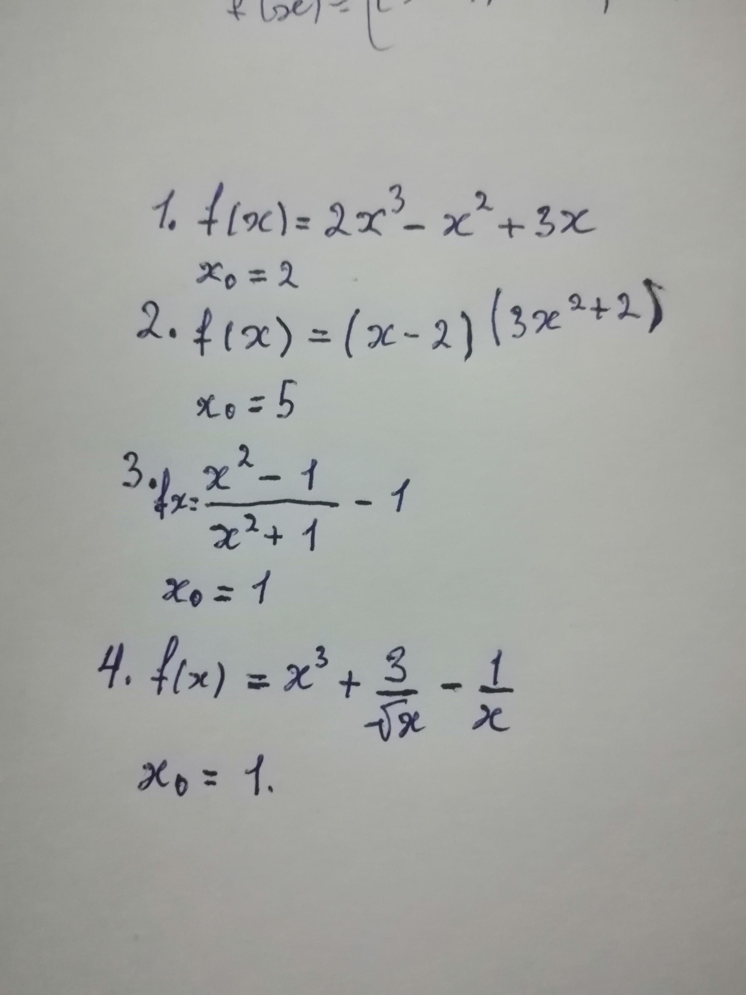
1
Найти производную данной функции.
2
Вычислить значение этой производной при заданном значении аргумента х=х0

Приложения:

Ответы

Ответ дал: yobaresh
1

Ответ:

Решение на картинке

Пошаговое объяснение:

Приложения:
Вас заинтересует