• Предмет: Математика
  • Автор: Kotyara032
  • Вопрос задан 3 года назад

Помогите пожалуйста срочно!!! 35 баллов!!!

Приложения:

Ответы

Ответ дал: mirzeynalletifov
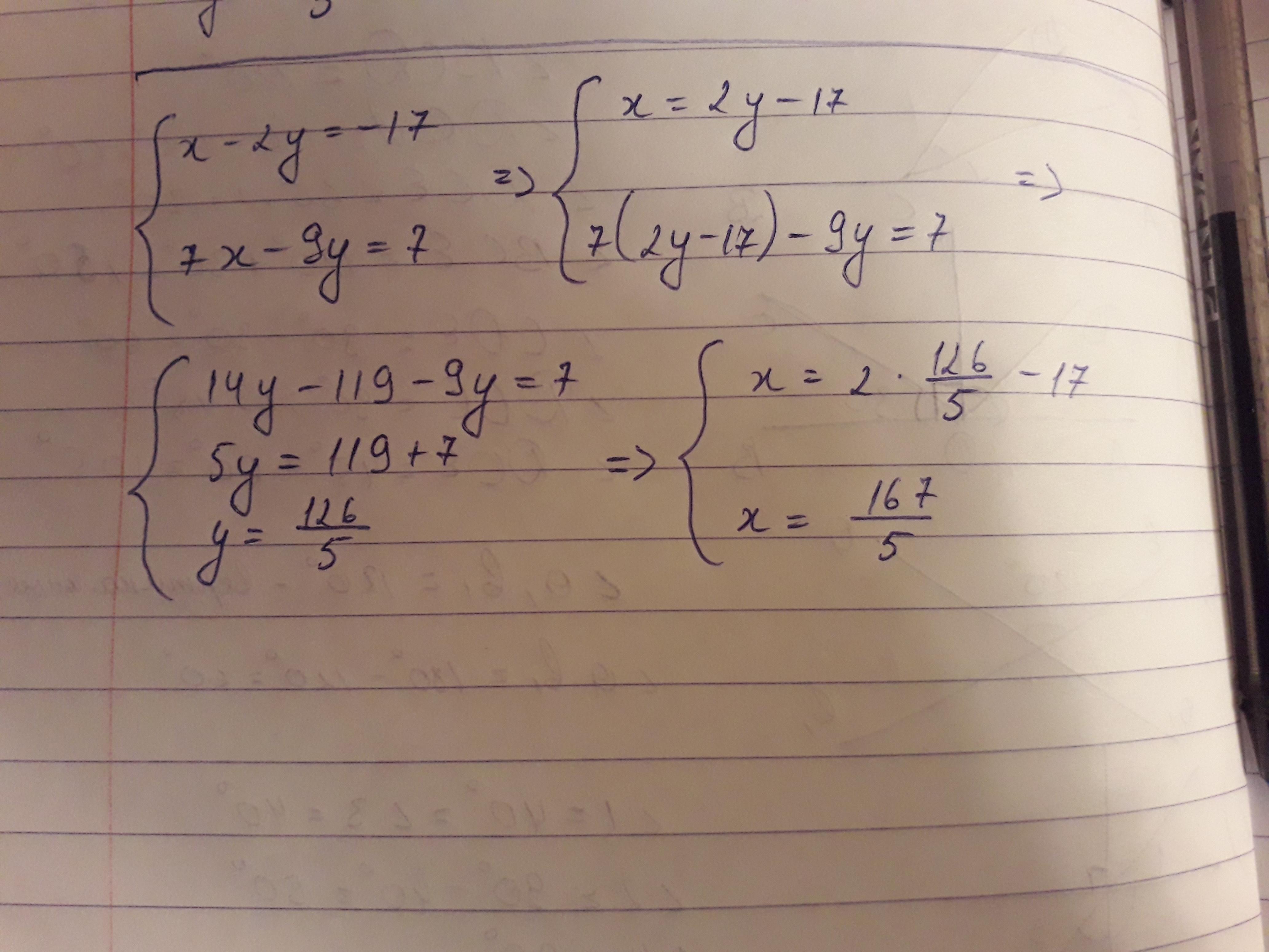
1

Ответ:

X=167/5 Y=126/5

Приложения:

Kotyara032: От души!)
Ответ дал: semenovalika1
1

Ответ(33,4; 25,2)

Пошаговое объяснение: x=2y-17,

7*(2y-17)-9y=7;

14y-119-9y=7;

5y=126;

y=126/5=25,2 - значение y

Возвращаемся к x=2y-17

x= 2*25,2-17=50,4-17= 33,4

Вас заинтересует