• Предмет: Математика
  • Автор: tatyanaminliba
  • Вопрос задан 3 года назад

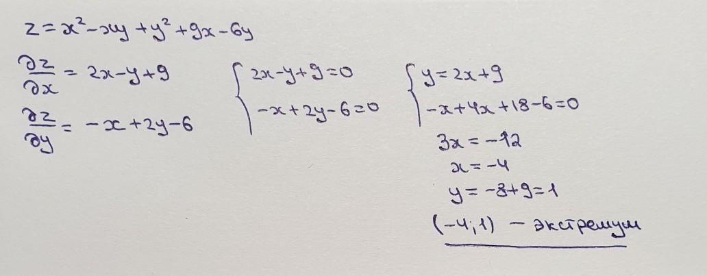
Исследовать на экстремум функцию z=x^2-xy+y^2 +9x-6y.
ПОМОГИТЕ ПОЖАЛУЙСТА!!!

Ответы

Ответ дал: Miroslava227
1

Ответ:

решение на фотографии

Приложения:
Вас заинтересует