Ответы
Ответ дал:
0
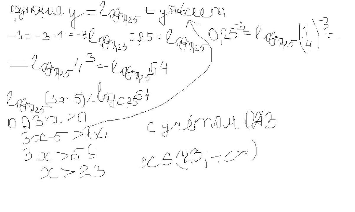
Log0,25|(3x-5)>-3
log0,25|(3x-5)>log0,25|64
3x-5>64
3x>69
x>23
log0,25|(3x-5)>log0,25|64
3x-5>64
3x>69
x>23
Ответ дал:
0
см. прикрепленный файл
Приложения:

Ответ дал:
0
смотри ,а где лог по основанию 0,25 в степени 3х-5<лог по основанию 0,25 в степени 64 ,почему знак такой ,как определяется не очень поняла
Ответ дал:
0
функция логарифм по основанию 0,25 убывает и, следовательно, с увеличением значения х логарифм уменьшается. В этом случае как бы наоборот: раз один логарифм больше другого, значит, первое число под логарифмом будет меньше. Как-то так.
Ответ дал:
0
3х-5>64 тут уже по условию знак,да?
Вас заинтересует
2 года назад
2 года назад
8 лет назад
10 лет назад
10 лет назад