• Предмет: Математика
  • Автор: Аноним
  • Вопрос задан 3 года назад

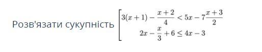
как решить эту кикимору?

Приложения:

Аноним: типо я решил второе уравнение (или как эта херня называется) и у меня вышло что х больше равно 27/7, а с первым хз чо делать

Ответы

Ответ дал: MolkyWay
1

Ответ

всё на фотографии

Пошаговое объяснение:

получается в ответе объединение: x∈(-∞;-5,6)∪[3\frac{6}{7};+∞)

Приложения:

MolkyWay: я надеюсь вам также 1 звезду поставят за правильный ответ!
Аноним: Не отвечайте, неправильные ответы никому и даром не надо, они не указывают на свои ошибки, в итоге человек пишет неправильный ответ, запоминает как решать и у него теперь на постоянной основе формируется неправильный алгоритм действий и решения.
Аноним: А если бы, умножили первое уравнение на 4, а второе на 3, у вас бы вышел правильный ответ с правильными иксами, но вы решили сделать по своему неправильному методу и теперь, не дай Бог, если кто-то захочет решить данную совокупность но не сможет, найдёт ваш ответ и решит не читать комментарии, он просто перепишет и получит 2 балла, при этом не будет понимать из-за чего
Аноним: Что по поводу вашей пассивной агрессии, я уже понял, что вы обиженный на жизнь и по этому со всеми спорите, не признаете что вы не правы при этом делая меня виноватым.
Аноним: Не используйте пассивную агрессию как способ выставить меня неправым и как способ самообороны. Вы только загоняете себя ещё в более большую яму ничтожества, рискуя с неё никогда не выбраться и остаться ничтожеством на всю жизнь. Исправляйтесь, может быть тогда вы перестанете быть ничтожеством и вам начнут помогать, а так - увы...
Аноним: Ах да, не пытайтесь мне написать что-то в роде: «Какая пассивная агрессия? Вы вообще адекватный?» или «Да вы сами виноваты, мне вообще никто никогда не помогал, вы еще благодарны должны быть!». Ведь я уверен, что каждый, кто увидит этот диалог, сразу поймет, кем вы являетесь и надеюсь, что увидя ваш ник в будущем в каком-то ответе, он вспомнит кем вы являетесь и почему вам не стоит доверять. Удачи таким как вы не желаю, досвиданья
MolkyWay: Ты закончил?
MolkyWay: Я уже понял, что у тебя проблемы с башкой. Просьба не писать глупости
MolkyWay: Вали, куда хочешь. Только не нужно писать тут пьесу
MolkyWay: Потом такие, как ты устраиваются на работу и ведут себя крайне плохо. Я надеюсь, что тебе также жизнь покажет, что так помощь, наглец
Вас заинтересует