• Предмет: Алгебра
  • Автор: cackaadara
  • Вопрос задан 3 года назад

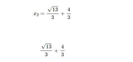
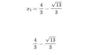
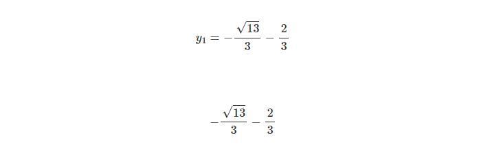
Решите систему уравнений x^2+2y^2=7 x-y-2=0​

Ответы

Ответ дал: Аноним
1

Ответ: ==========================

Объяснение: Всё на картинках.

Приложения:
Вас заинтересует