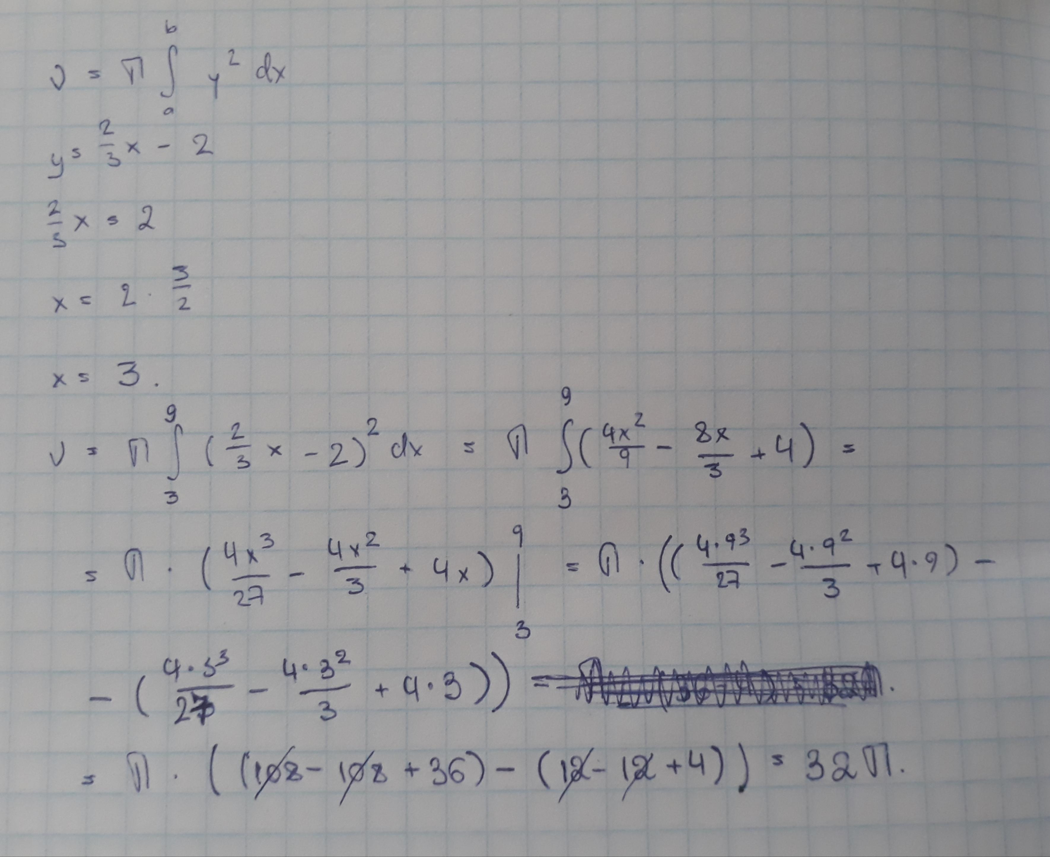
Алгебра, 11 класс. Область, ограниченная осью Ox, прямыми y=2/3*x-2
и x = 9, вращается вокруг оси Ox на 360°. Найди объем полученного тела вращения
Ответы
Ответ дал:
1
ну крч тут все по формулам, надеюсь понятно
Приложения:

Вас заинтересует
2 года назад
7 лет назад