• Предмет: Алгебра
  • Автор: akoscha10
  • Вопрос задан 3 года назад

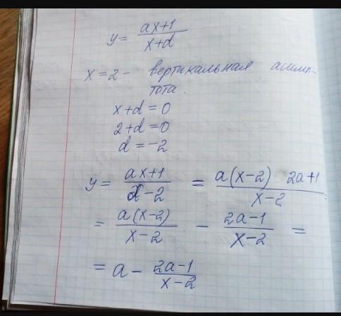
Прямые х = -3, у = 2 являются асимптотами дробно-линейной функции у = (ах+1)/(х+d) Найдите значения a и d и постройте эскиз данного графика.​

Ответы

Ответ дал: anastasiya199907
15

Объяснение:

надеюсь помогла))))))))

:)

Приложения:
Вас заинтересует