Ответы
Ответ дал:
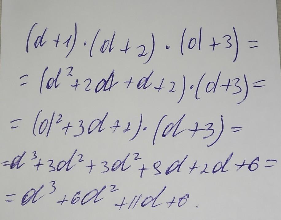
1
Объяснение:
вот фотка с упрощением
Приложения:

ftf100:
привет ну как?????
Вас заинтересует
2 года назад
7 лет назад
9 лет назад