Ответы
Ответ дал:
2
Ответ:
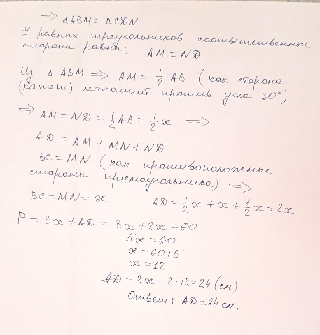
АD=24см.
Найти основание трапеции.
Приложения:


Вас заинтересует
2 года назад
2 года назад
7 лет назад
9 лет назад