• Предмет: Алгебра
  • Автор: calpac2007
  • Вопрос задан 3 года назад

Помогите, пожалуйста

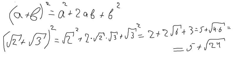
Приложения:

Ответы

Ответ дал: uksukbayeva07
1

2 + 2 =  \sqrt{6}

Ответ дал: vikusyavika20
1

Ответ:да, он был прав

Объяснение:

Следуя формулам

Приложения:
Вас заинтересует