• Предмет: Алгебра
  • Автор: ata221
  • Вопрос задан 3 года назад

Помогите, пожалуйста.
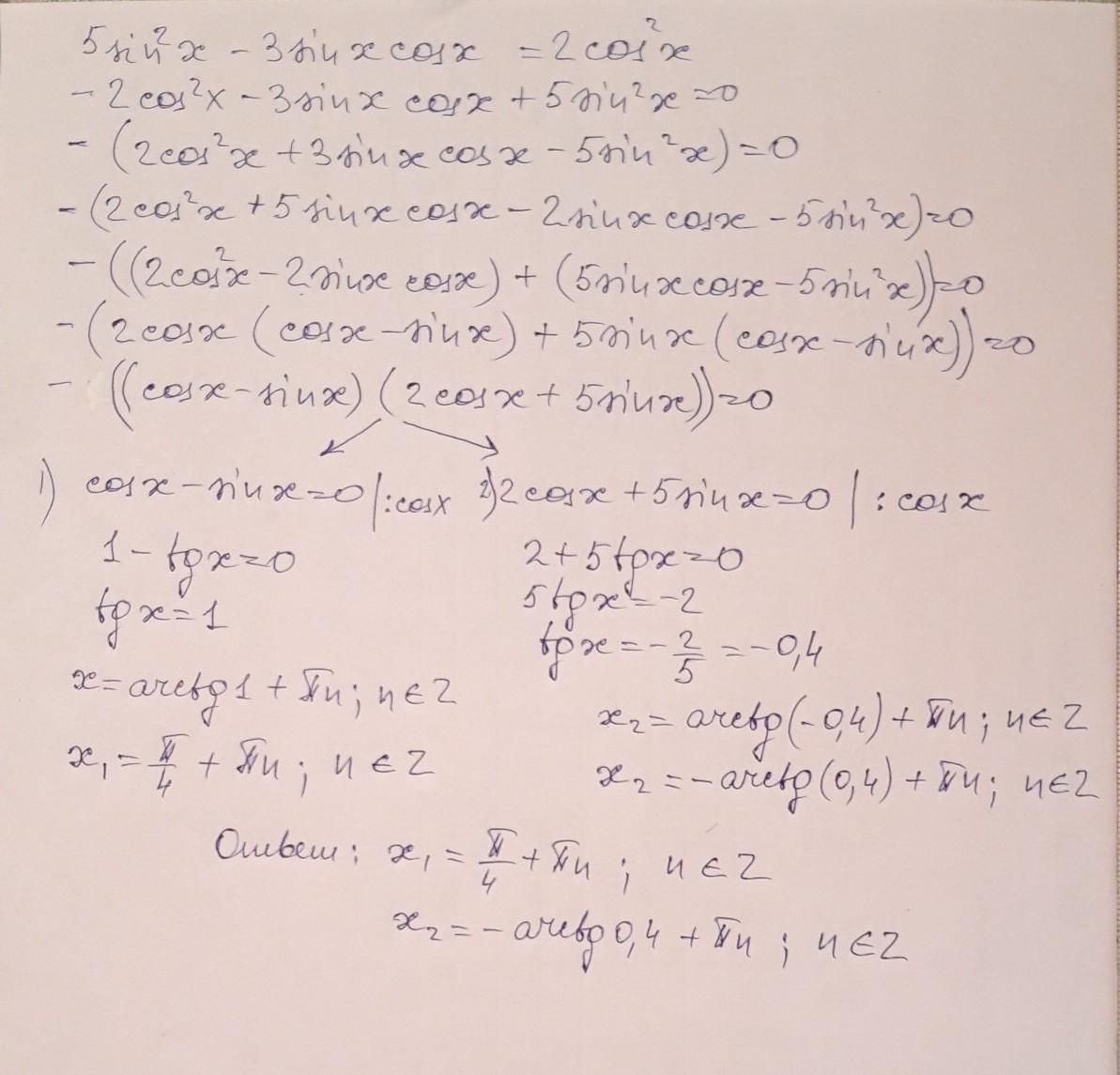
решите однородное тригонометрическое уравнение :
(на фото)​

Приложения:

Ответы

Ответ дал: sharofat0
1

Ответ:

1) х_1=pi/4+pin; n€Z

2)x_2=-arctg0,4 +pin; n€Z

Однородное триг. уравнение.

Приложения:

ata221: спасибо!!
ata221: не поможете еще с одним уравнением, пожалуйста?
Вас заинтересует