• Предмет: Математика
  • Автор: hsrr1csjxgmn
  • Вопрос задан 3 года назад

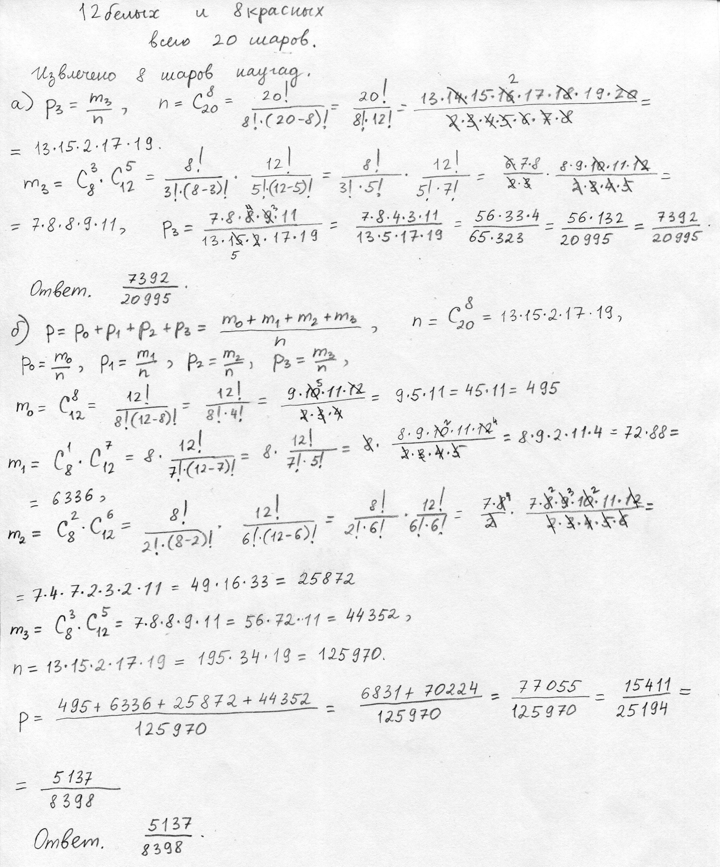
В ящике лежат 12 белых и 8 красных одинаковых на ощупь шаров.
а) Вынули наугад 8 шаров. Какова вероятность того, что ровно 3 из них красные?
б) Вынули наугад 8 шаров. Какова вероятность того, что красных шаров вынуто не больше 3?

Ответы

Ответ дал: Аноним
2

я написал решение на листочке ===>>

Приложения:
Вас заинтересует