• Предмет: Математика
  • Автор: Аноним
  • Вопрос задан 3 года назад

Срочно! Помогите найти расстояние между точками.​

Приложения:

Ответы

Ответ дал: starwish10x
1

Ответ:

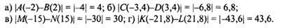
Это касательно расстояния между точками.

Пошаговое объяснение:

Приложения:
Вас заинтересует