• Предмет: Алгебра
  • Автор: nemo1661
  • Вопрос задан 3 года назад

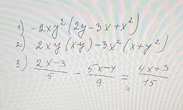
алгебра быстро . 3 решить . 1,2 упростить с решением​

Приложения:

Ответы

Ответ дал: cloudytyan12
0

Объяснение:

1)-2*Y (2Y-3x+x)

3)2*-3/5-5x-4/9=4x+3/15

Вас заинтересует