• Предмет: Алгебра
  • Автор: alexandramudrova2005
  • Вопрос задан 3 года назад

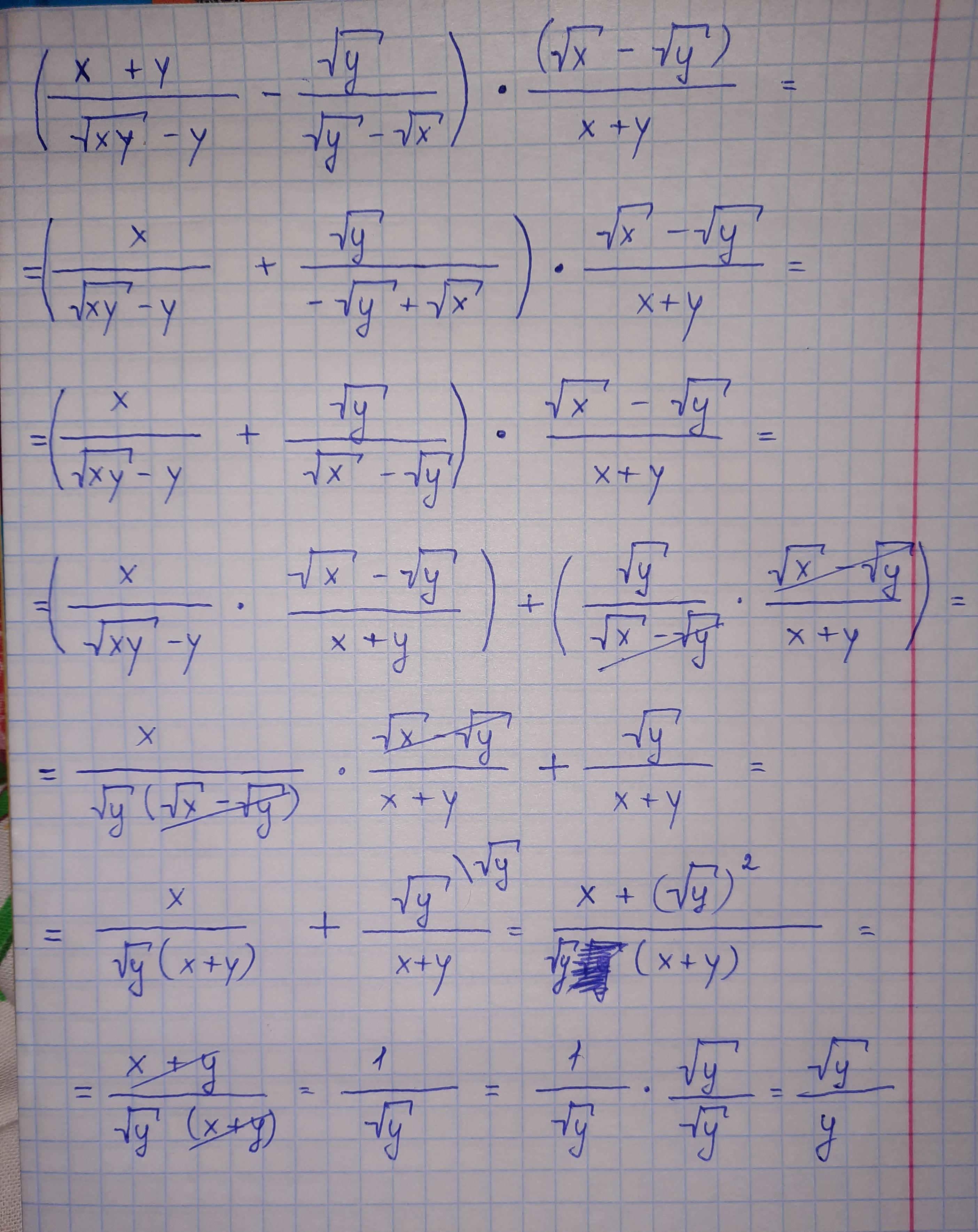
Выполните действия ​

Приложения:

Ответы

Ответ дал: filana85
0

Ответ: 1/√у или √у/у - это одно и то же, просто избавились от иррациональности в знаменателе

Объяснение: во вложенном файле

Приложения:
Вас заинтересует