• Предмет: Алгебра
  • Автор: nizil3
  • Вопрос задан 3 года назад

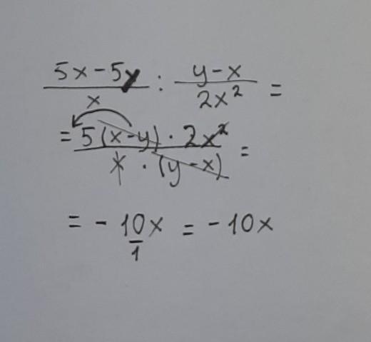
Выполнить действие:
5x-5y/x : y-x/2x^2

С решением, пожалуйста.

Ответы

Ответ дал: elenaignatyeva1
3

Объяснение:

решение на фотоооооооо

Приложения:
Вас заинтересует