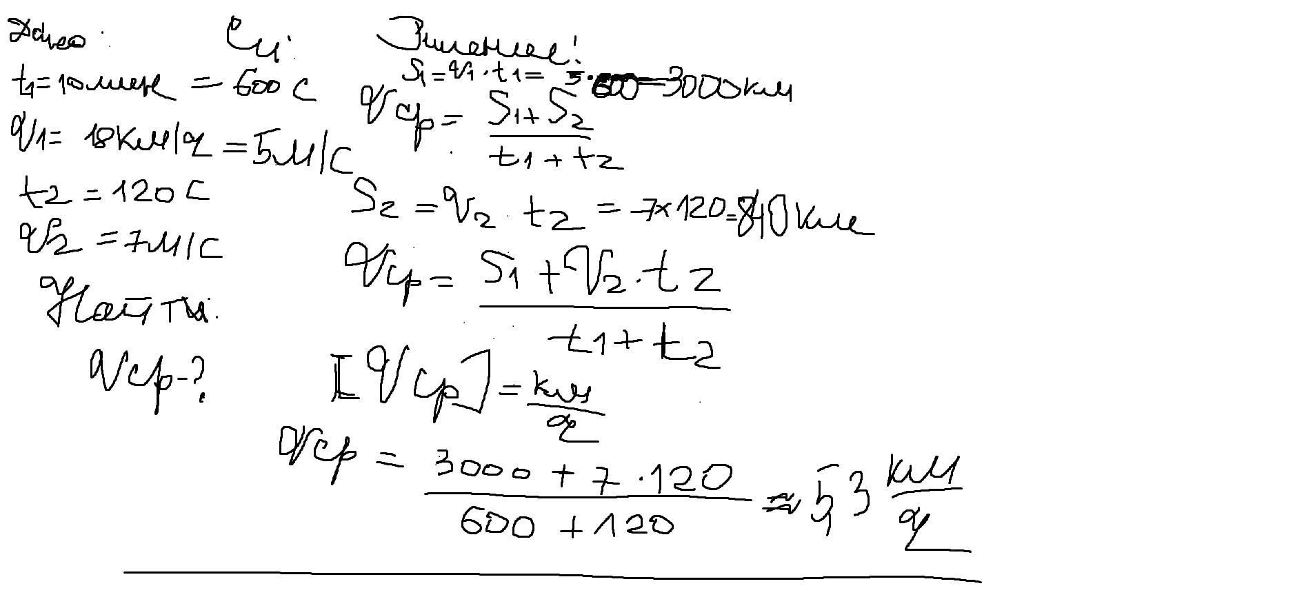
Велосипедист на первом участке пути двигался в течение 10 мин со скоростью 18 км/ч, на втором участке пути в течение 120 с – со скоростью 7 м/с. Вычислите среднюю скорость на всём участке пути.
СРОЧНО
Ответы
Ответ дал:
1
Ответ:
Вложениеееееееееее
Приложения:

Вас заинтересует
2 года назад
2 года назад
2 года назад
2 года назад
7 лет назад
7 лет назад
9 лет назад