• Предмет: Алгебра
  • Автор: aberkimbekuly0208198
  • Вопрос задан 3 года назад

Пж Люди, помогите у меня сегодня СРОЧНО нужно !

Приложения:

aberkimbekuly0208198: Соч*

Ответы

Ответ дал: rahlenko007
1

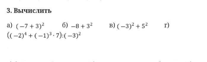
Ответ:

а) 16      б) 1    в) 34    г) 9

Объяснение:

а) (-7 + 3)^{2}  = 4^{2} = 16\\\\

б) -8 + 3^{2} = -8 + 9 = 1

в) (-3)^{2} + 5^{2} = 9 + 25 = 34

г) ((-2)^{4} + (-1)^{3} * 7) : (-3)^{2} = (4^{2} + (-1) * 7) = 16 - 1 * 7=9

Советую выучить эту тему, иначе дальше тебе попа :)

Вас заинтересует