• Предмет: Алгебра
  • Автор: weysh
  • Вопрос задан 3 года назад

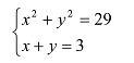
2.[3] Решите систему уравнений

Приложения:

Ответы

Ответ дал: ovsecus
1

Ответ:

Объяснение:

Вот решение

Приложения:
Вас заинтересует