• Предмет: Математика
  • Автор: akola9630
  • Вопрос задан 3 года назад

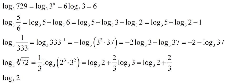
Прологарифмируйте выражение по заданному основанию a

Приложения:

Ответы

Ответ дал: palilov243659
0

Ответ:

Пошаговое объяснение:

a=3

Приложения:
Вас заинтересует