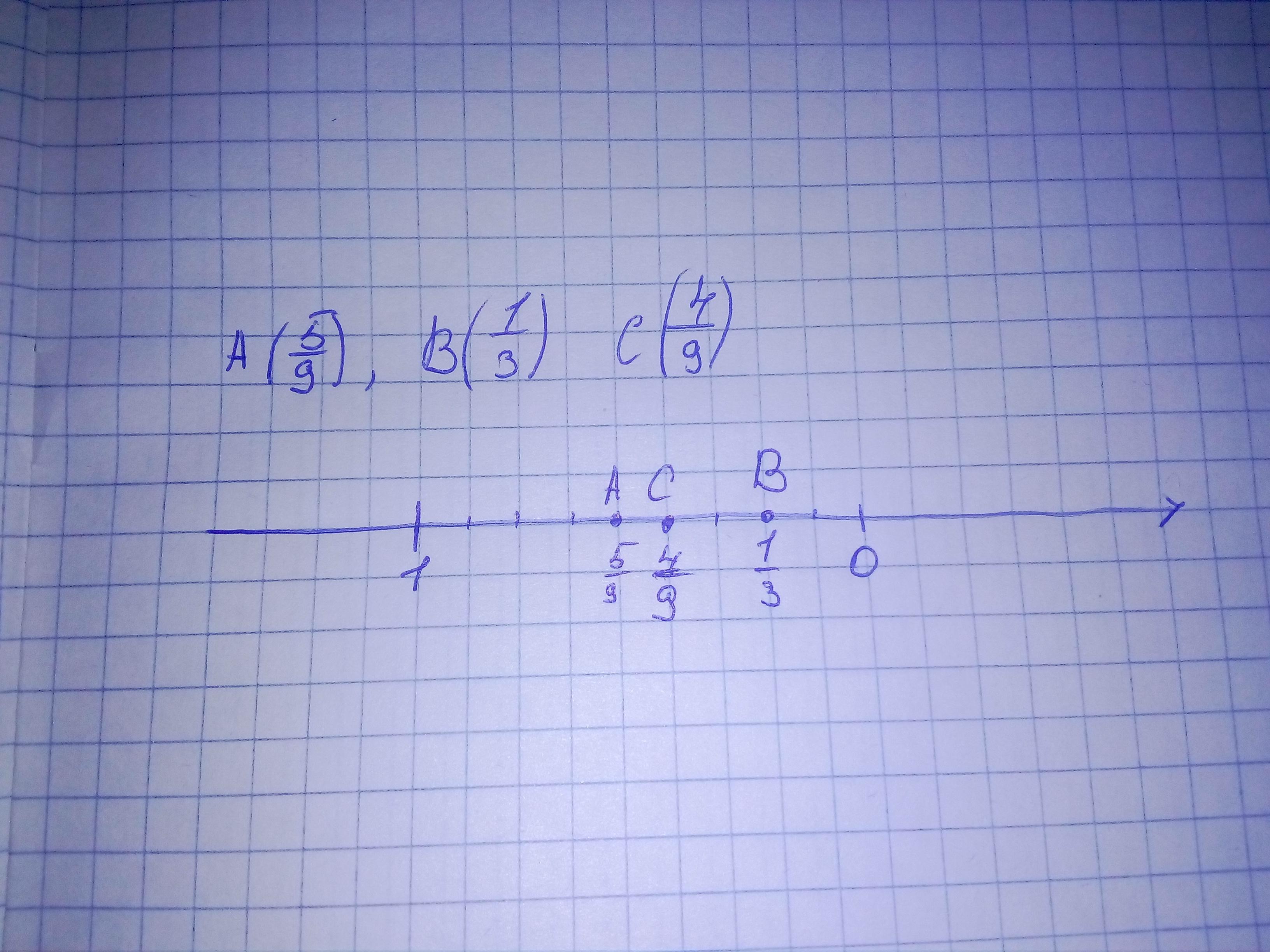
А[5/9] B[1Ц.1/3] C[2Ц.4/9]
начертите числовой луч и изобразите координаты точек
ПЖ ПОМОГИТЕ ДАЮ 15
БАЛЛОВ
Ответы
Ответ дал:
0
Ответ:
Пошаговое объяснение:
Приложения:
Вас заинтересует
2 года назад
2 года назад
3 года назад
3 года назад
8 лет назад
8 лет назад
9 лет назад
9 лет назад