• Предмет: Алгебра
  • Автор: kristinalubshenko
  • Вопрос задан 3 года назад

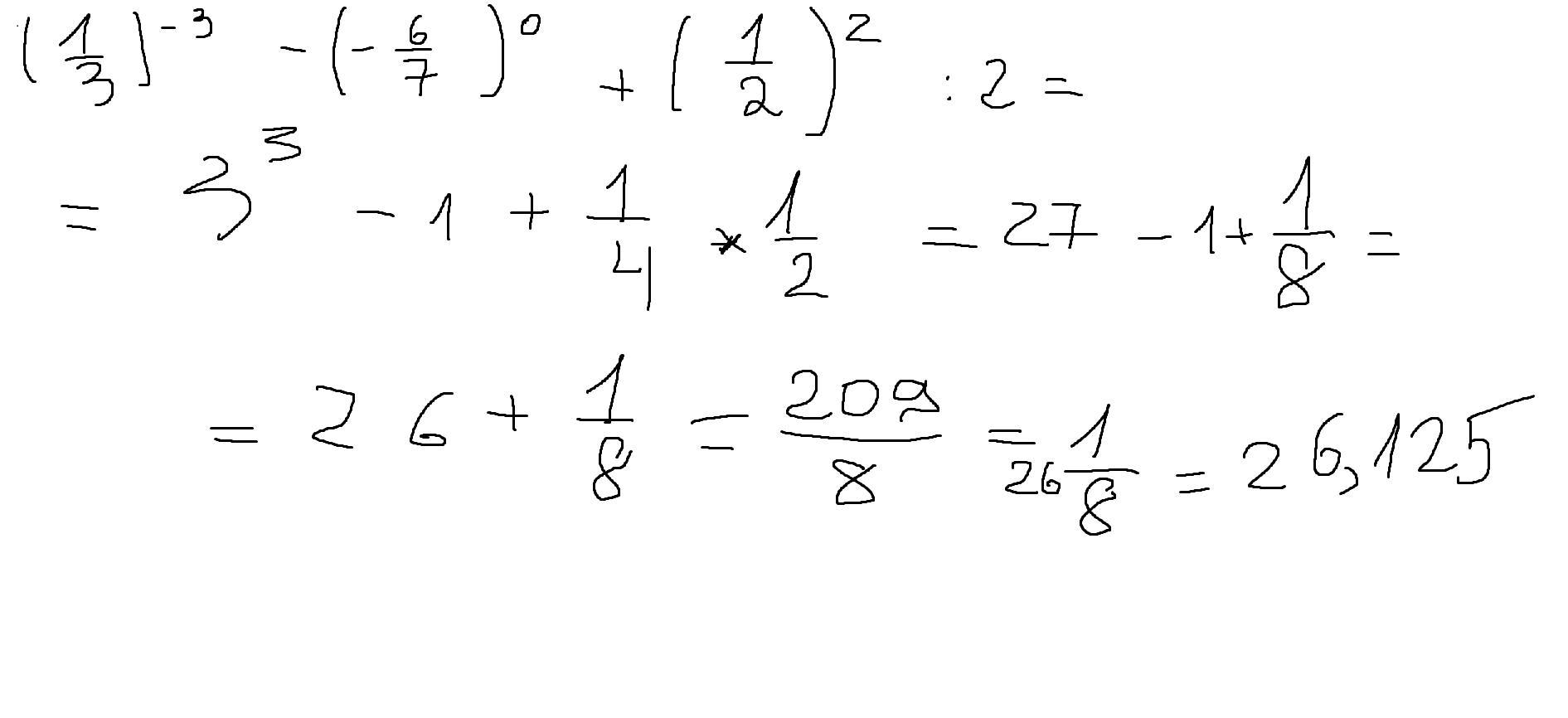
вычислите 1/3 в -3 степени - -6/-7 в 0 степени + 1/2 во 2 степени ÷2

Ответы

Ответ дал: grattttt
2

Ответ:

Вложениееееееее

Приложения:

kristinalubshenko: Если будет правильно то я сделаю твой ответ лучший
Ответ дал: lucka74
1

Ответ:

Объяснение:

1/3 в -3 это 3 в третьей=27

-6/-7 в 0 степени = 1

1/2 во 2 степени и : 2=1/4÷2=1/8

Вас заинтересует