• Предмет: Математика
  • Автор: koptakovbel
  • Вопрос задан 3 года назад

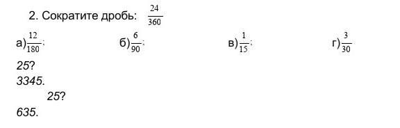
срочно очень матем пж​

Приложения:

koptakovbel: спс

Ответы

Ответ дал: arinam38
1

Ответ:

в (1/15)

Пошаговое объяснение:

Потому что только эту дробь уже нельзя сократить


koptakovbel: а остальное?
arinam38: А остальное тоже самое, только можно сократить
koptakovbel: остальное тоже 1/5?
arinam38: да
koptakovbel: спс
Вас заинтересует