• Предмет: Алгебра
  • Автор: ann17489816
  • Вопрос задан 3 года назад

Помогите пожалуйста 8 класс ср

Приложения:

Ответы

Ответ дал: corn2
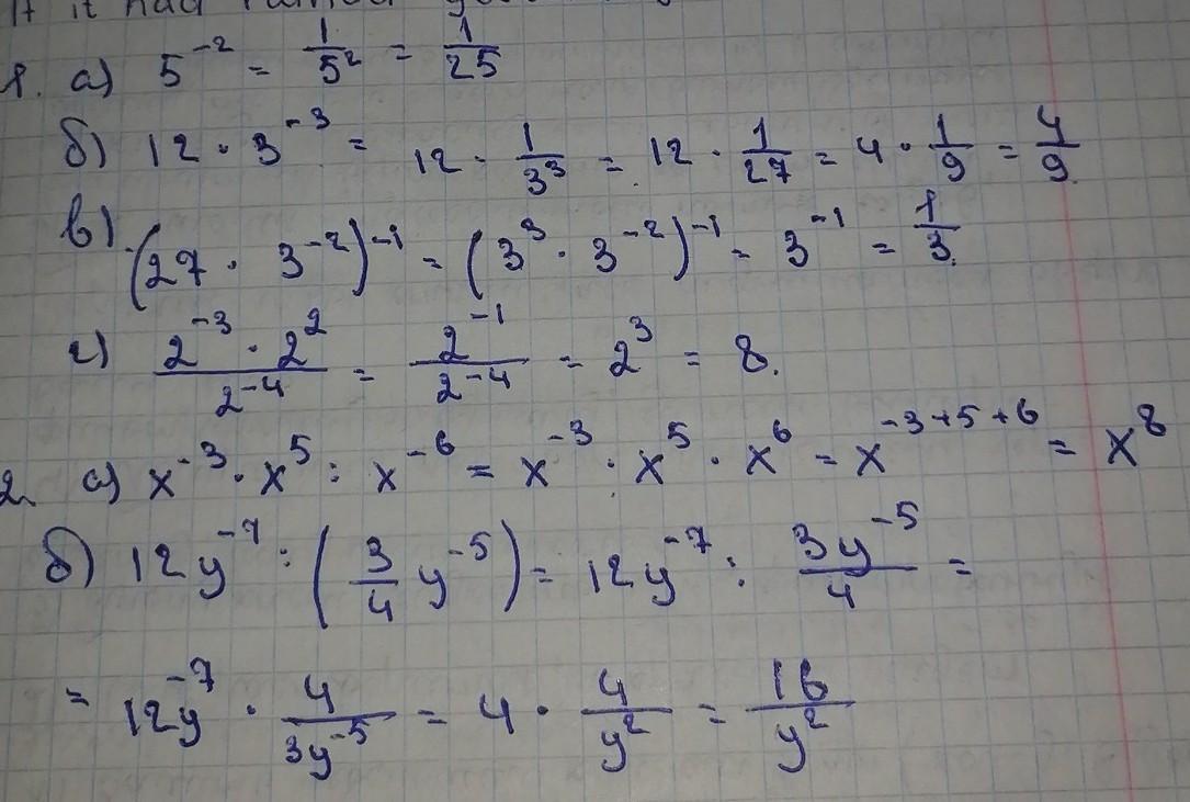
1

Ответ:

Надеюсь поймёте...........

Приложения:
Ответ дал: EADF
1

Объяснение:

1.

a) \: 5 {}^{ - 2}  =  (\frac{1}{5} ) {}^{2}  =  \frac{1}{25}  =  \frac{4}{100}  = 0.04

b)  \: 12 \times 3 {}^{ - 3}  = 12 \times  (\frac{1}{3} ) {}^{3}  = 4 \times ( \frac{1}{3}) {}^{2}  = 4 \times  \frac{1}{9}  =  \frac{4}{9}

в)  \: (27 \times 3 {}^{ - 2} ) {}^{ - 1}  =  \frac{1}{ 27 \times 3 {}^{ - 2} }  = \frac{1}{ 27 \times {( \frac{1}{3}) }^{  2} }=\frac{1}{ 27 \times \frac{1}{9}  } =  \frac{1}{3}

г) \:  \frac{ {2}^{ - 3}  \times2 {}^{2}  }{2 {}^{ - 4} }  =  \frac{2 {}^{ - 3 + 2} }{2 {}^{ - 4} }  =  \frac{2 {}^{-1} }{2 {}^{-4} }  = 2 {}^{ - 1-(-4)}  = 2 {}^{3}  = 8

2.

a) \: x {}^{ - 3}  \times x {}^{5}  \div x {}^{ - 6}  = x {}^{ - 3 + 5 - ( - 6)}  = x {}^{ - 3 + 11}  = x {}^{8}

b)  \: 12y{}^{-7} \div ( \frac{3}{4} {y}^{-5})= \frac{12}{y{}^{7}} \div (\frac{3}{4{y}^5})=\frac{12}{y{}^{7}} \times (\frac{4{y}^5}{3}) = \frac{4 \times 4{y}^{5}}{{y}^{7}}= \frac{16}{{y}^{2}}


EADF: Решал сам !!!
Вас заинтересует