• Предмет: Алгебра
  • Автор: Аноним
  • Вопрос задан 3 года назад

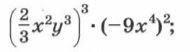
Помогите пж дам 30 баллов

Приложения:

Ответы

Ответ дал: beka09876
0

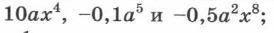
Ответ:

Х2*9х4=150х 10000000% првильно


Аноним: тут такого вообще нет, гений
Вас заинтересует