Ответы
Ответ дал:
1
Ответ:
Если нужно, могу и 2 задание решить
Приложения:

Аноним:
Спасибо
Ответ дал:
1
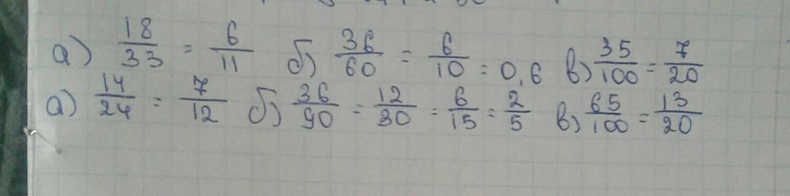
Ответ: см фото. 8
Пошаговое объяснение:
Приложения:

Вас заинтересует
2 года назад
2 года назад
2 года назад
7 лет назад
9 лет назад