• Предмет: Алгебра
  • Автор: papapetr931
  • Вопрос задан 3 года назад

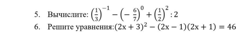
помогите пожалуйста ссоч по алгебре

Приложения:

Ответы

Ответ дал: KRchik71764
0

5)

1) Вычислим, сократим и выполним деление дроби. = 3 - ( - 6/7)(0) + ( 1/2)(2) : 2.

2) Вычислим. = 3 - 1 + 1/4 * 1/2.

3) Вычислим. = 2 + 1/4 * 1/2 = 2 + 1/8.

4) Вычислим. = 17/18.

6)

1) Разложим. = 4х(2) + 12х + 9 - (2х - 1) * (2х + 1) = 46.

2) Упростим. = 4х(2) + 12х + 9 - (4х(2) - 1) = 46.

3) Раскроем скобки. = 4х(2) + 12х + 9 - 4х(2) + 1 = 46.

4) Сократим противоположные слагаемые. = 12х + 9 + 1 = 46.

5) Вычислим. = 12х + 10 = 46.

6) Переносим (10) в правую часть. = 12х = 46 - 10.

7) Вычислим. = 12х = 36.

8) х = 36 : 12.

9) Ответ: 3.

Вас заинтересует