• Предмет: Алгебра
  • Автор: constellation04
  • Вопрос задан 3 года назад

Помогите пожалуйста мен срочно нужно

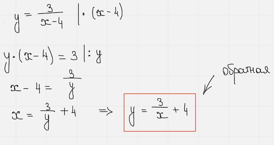
Найти обратную к заданной функции:

У=3/х-4
В знаменателе х-4


bodunova94: в знаменателе x - 4 или только x, а 4 -ка вычитается из дроби?

Ответы

Ответ дал: bodunova94
1

Ответ:

см. вложение

Объяснение:

Приложения:
Вас заинтересует